DAG
tags :
Acronym: Directed Acyclic Graph #
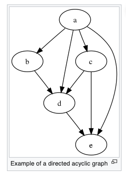
In mathematics, particularly graph theory, and Computers science, a directed acyclic graph (DAG) is a directed graph with no directed cycles.
Directed acyclic graphs are sometimes instead called acyclic directed graphs[1] or acyclic digraphs.[2] A directed acyclic graph is a directed graph that has no cycles.

OCR of Images #
2024-04-22_13-04-12_screenshot.png #

a b C C a Example of a directed acyclic graph
OCR of Images #
2024-04-22_13-04-12_screenshot.png #

a b C C a Example of a directed acyclic graph